최근 광동 담강의
10살 소녀 량운여의
춤추는 영상이
큰 인기를 모았다
우아한 자태와
자신감 넘치는 눈매는
많은 네티즌들의
마음을 설레이게 했다
“그의 미소는
심신을 호강시켜줍니다!”
“춤추는 소녀에게서
광환을 느꼈습니다”
운여는 담강 뢰주시
담두진 하해촌에 거주하며
올해 소학교 4학년생이다
그의 어머니 장 녀사는
딸은 어려서부터 음악이
나오기만 하면 따라서 춤을 췄고
집에서도 스트레칭을 즐기며
6살부터 스탠더드댄스를
접했다고 말했다

딸의 댄스 꿈을 이뤄주기 위해
부모님은 주말마다
딸을 데리고 도심에 있는
전문 댄스 강습반에 다녔다
해변가에 위치한 집에서
도심까지 거리가 멀다보니
그들은 새벽 5시에 일어나
전동차로 한시간을 달려
버스역까지 간 뒤
다시 한시간 동안 버스를 타고
강습센터까지 갔다
“번마다 3백키로를 오가야 했는데,
그래도 3년을 견지했습니다”

춤을 배우는 과정을 돌아보며
장 녀사는 고생하는
딸이 가슴아프다고 말했다
“그나마 운여는
철이 일찍 든 것 같습니다
여태 힘들다는
말을 한 적이 없거든요
저절로 쉬겠다고 한 적도 없습니다
신발, 양말이 닳아떨어져도
가끔 발에 상처를 입어
피가 나도 견지할 거라고 했죠.”

닳아 떨어진 운여의 신발
댄스 강습반에 가지 않을 때면
운여는 매일 두세시간씩
혼자 련습을 한다
평소 하학해 집에 돌아오면
먼저 숙제를 끝내고
교복을 입은 채로
댄스 련습에 들어간다
학교에서도 운여는 점심 시간을 타
기본 동작을 익히기도 한다

학교 교실, 해변가 부두, 집 거실
전부가 운여의 “무대”이다
끈질긴 의지와 꾸준한 노력이
춤추는 운여에게 빛을 더해주었다
최근 몇년 사이 그는
국내에서 개최된
여러 국제대회에 나가
수차 우승을 따내기도 했다.


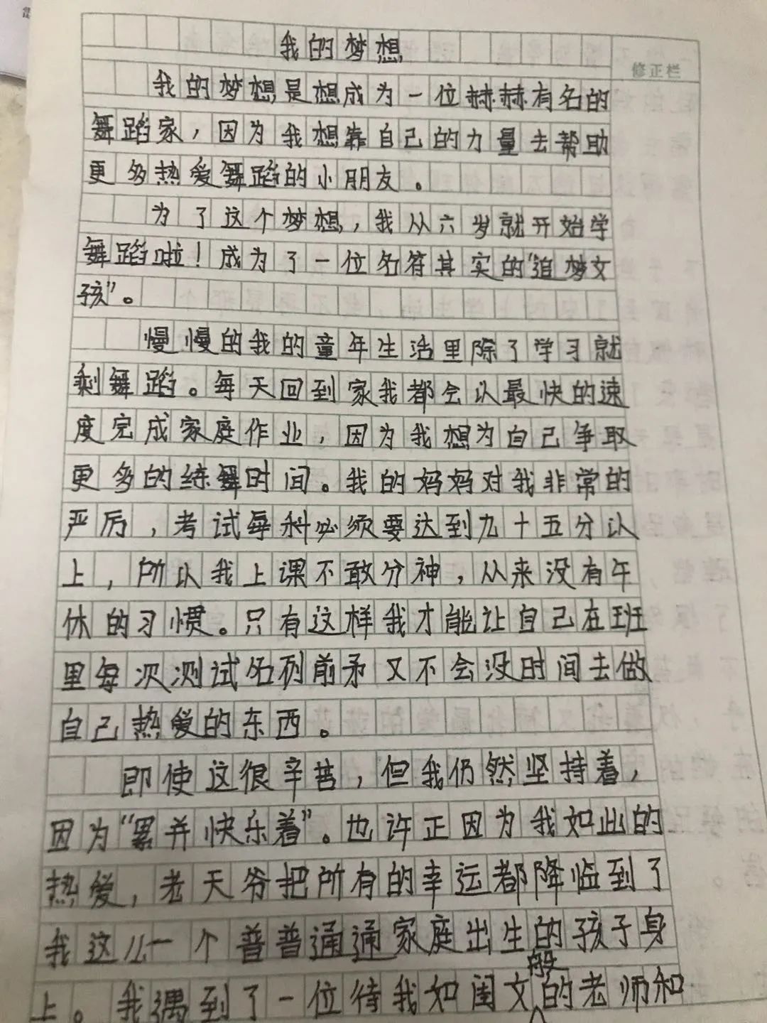
운여는 작문에 자신의 꿈을 적었다
“나의 꿈은 무용수가 되는 것입니다
... ...
그 길이 힘들긴 하지만
나는 견지할 것입니다
무용은 나에게
무한한 자신감을 안겨줍니다”


장녀사는 딸의 작문을
보고나서 깊은 감동을 받았다
“딸은 아주 우수합니다.
그 덕에 아빠나 저나
큰 위로를 느끼죠
딸이 포기하지 않는다면
저희는 꼭 지지할 것입니다”
운여의 사연은
많은 네티즌들의 찬상을 받았다
“대단하네요, 계속 힘내세요”
“소녀의 꿈이 이뤄지길 바랄게요”


